网站首页
|
关于我们
|
产品展示
|
新闻中心
|
工程案例
|
电子画册
|
资质画册
|
留言中心
|
联系我们
<
>
桥梁伸缩装置
XLF60桥梁伸缩装置
XLF桥梁伸缩装置
TST填充式桥梁接缝弹塑体
SF梳型钢板桥梁伸缩装置
GQF-MZL-ZX重型桥梁伸缩
公路桥梁伸缩装置
盆式橡胶支座
公路桥梁盆式橡胶支座的
GQZ(2009)球型支座设计参
GPZ(KZ)系列公路桥梁抗震
GPZ (III)系列公路桥梁抗
GPZ(II)系列盆式橡胶支座
盆式橡胶支座的工作原理
球型支座
QZ、LQZ系列球型支座的安
LQZ球型支座规格
LQZ系列球型桥粱支座
QZ系列球型支座
板式橡胶支座
限位型板式橡胶支座
GJZF4 GYZF4系列橡胶支座
GJZ、GYZ系列橡胶支座
板式橡胶支座的安装与施
橡胶止水带系列
建筑伸缩缝用橡胶止水带
钢板腻子止水带
FZ型复合止水带
HPZ系列遇水膨胀橡胶止水
止水带
橡胶止水条系列
ZPJ遇水膨胀橡胶止水条
NPJ遇水膨胀止水条
泡沫板
聚乙烯泡沫塑料填缝板
泡沫板
双组份聚硫密封胶
双组份聚硫密封胶
双组份聚硫密封膏
手 机:
13803189502
联系人:
孙经理
电 话:
0318-2969929
传 真:
0318-2969939
网 址:
www.hsfxxj.com
邮 箱:
hsfengxin@163.com
地 址:
衡水市桃城区后孙工业园区66号
产品展示
当前位置:
产品展示
>
板式橡胶支座
GJZF4 GYZF4系列橡胶支座
所属分类:板式橡胶支座
发布日期:2014-3-3
浏览:次
咨询电话:
13803189502
2.1四氟滑板
橡胶支座
组装示意图见图3.
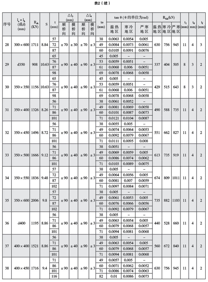
2.3GJZF4、GYZF4规格系列支座主要附近尺寸
上一个产品:
GJZ、GYZ系列橡胶支座
下一个产品:
限位型板式橡胶支座
网站版权所有:衡水丰新橡胶制品有限公司 技术支持:
起航网络
电话:0318-2969929 传真:0318-2969939 手机:13803189502 联系人:孙经理
地址:衡水市桃城区后孙工业园区66号 邮箱:hsfengxin@163.com 网址:www.hsfxxj.com
冀ICP备14003256号-1